<samp id="1smiv"></samp>
  • <bdo id="1smiv"><fieldset id="1smiv"></fieldset></bdo>
  • <bdo id="1smiv"><fieldset id="1smiv"></fieldset></bdo>
  • <ol id="1smiv"></ol>
    丝袜.制服.丝袜.亚洲.日韩.中文

    IHF型氟塑料離心泵

    時間:2020-06-22   訪問量:7424
    IHF型氟塑料離心泵

    IHF型氟塑料離心泵實拍視頻:

    IHF型氟塑料離心泵使用現場實拍視頻

    一、概述

      IHF氟塑料離心泵簡稱為“IHF離心泵”是單級、單吸、懸臂式離心泵,泵體采用金屬外殼內襯聚全氟乙丙烯(F46),泵蓋、葉輪和軸套均用金屬嵌件外包氟塑料整體燒結壓制成型,軸封采用四氟填充材料,進出口均采用鑄鋼體加固。可參照國際標準ISO2858標準研發設計。

      IHF氟塑料離心泵具有很高的耐腐、耐磨、耐高溫、不老化、機械強度高、運轉平穩、結構先進合理、密封性能嚴格可靠、拆卸檢修方便、使用壽命長等優點,有WB2外裝波紋管式和IHF-N內裝雙端面專利機械密封兩種結構。

    二、用途

      IHF氟塑料離心泵廣泛通用于化工、制藥、石油、冶金、染料、冶煉、電力、電鍍、農藥、造紙、食品、紡織等行業酸洗工藝、制酸制堿、噴漆工藝、有色金屬冶煉中的電解液輸送、離子膜項目中的氯水輸送、廢水處理、電鍍、農藥領域。

      IHF氟塑料離心泵在-85℃~200℃溫度條件下長期輸送任意濃度的硫酸、鹽酸、氫氟酸、硝酸、王水、強堿、強氧化劑、有機溶劑、還原劑等強腐蝕介質,是目前重要的耐腐蝕設備之一。

    三、型號意義

    IHF3_副本.jpg

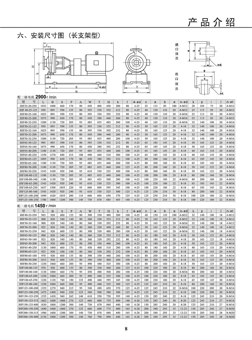
    四、性能參數

    序號型號(Model)轉速(Rev) =2900r/min   介質密度(Medium density)=1000kg/m3
    流量揚程效率進口出口汽蝕余量電機功率整機重量
    FlowPump headηInletOutletNpshPowerWeight
    (m3/h)(m)(%)(mm)(mm)(m)(kw)(kg)
    1IHF32-25-1253.62026322031.585
    2IHF 32-20-1603.63220322032.290
    3IHF40-25-1256.32035φ40φ2531.578
    4IHF40-25-1606.33232φ40φ2532.292
    5IHF40-25-2006.35025φ40φ2534147
    6IHF40-25-2506.38023φ40φ25311233
    7IHF50-32-12512.52051φ50φ3232.290
    8IHF50-32-16012.53245φ50φ3234125
    9IHF50-32-20012.55039φ50φ3237.5166
    10IHF50-32-25012.58035φ50φ32511235
    11IHF50-32-31512.511020φ50φ32530300
    12IHF65-50-125252062φ65φ503.5399
    13IHF65-50-160253257φ65φ503.55.5146
    14IHF65-40-200255052φ65φ403.511214
    15IHF65-40-250258049φ65φ403.518.5297
    16IHF80-65-125502066φ80φ6545.5146
    17IHF80-65-160503264φ80φ65411214
    18IHF80-50-200505063φ80φ50415230
    19IHF80-50-250508057φ80φ504.530393
    20IHF100-80-1251002066φ100φ804.511215
    21IHF100-80-1601003271φ100φ80515254
    22IHF100-65-2001005067φ100φ65530382
    23IHF100-65-2501008065φ100φ65545540
    24IHF125-80-1601603270φ125φ80530477
    25IHF125-100-2002005065φ125φ100655630
    序號型號(Model)轉速(Rev) =1450r/min   介質密度(Medium density)=1000kg/m3
    流量揚程效率進口出口汽蝕余量電機功率整機重量
    FlowPump headηInletOutletNpshPowerWeight
    (m3/h)(m)(%)(mm)(mm)(m)(kw)(kg)
    1IHF40-25-1253.2532φ40φ2530.5570
    2IHF40-25-1603.2828φ40φ2530.5575
    3IHF40-25-2003.212.523φ40φ2530.5580
    4IHF40-25-2503.22020φ40φ2521.585
    5IHF50-32-1256.3545φ50φ3230.5573
    6IHF50-32-1606.3840φ50φ3230.5591
    7IHF50-32-2006.312.533φ50φ3231.1105
    8IHF50-32-2506.32030φ50φ3251.5128
    9IHF65-50-12512.5555φ65φ503.50.5580
    10IHF65-50-16012.5851φ65φ503.51.192
    11IHF65-40-20012.512.546φ65φ403.51.5110
    12IHF65-40-25012.52043φ65φ403.53140
    13IHF80-65-12525564φ80φ6541.1110
    14IHF80-65-16025862φ80φ6541.5110
    15IHF80-50-2002512.557φ80φ5042.2120
    16IHF80-50-250252053φ80φ504.54140
    17IHF100-80-12550564φ100φ804.51.5130
    18IHF100-80-16050868φ100φ8052.2140
    19IHF100-65-2005012.564φ100φ6554320
    20IHF100-65-250502062φ100φ6557.5350
    21IHF125-80-16080869φ125φ8054300
    22IHF125-100-20010012.564φ125φ10067.5375
    23IHF125-100-2501002063φ125φ100615386
    24IHF125-100-3151003260φ125φ100318.5480
    25IHF150-125-2502002067φ150φ125722500
    26IHF150-125-3152003265φ150φ125745660
    27IHF150-125-4002005061φ150φ125775860
    28IHF200-150-2504002069φ200φ1507.545680
    29IHF200-150-3154003268φ200φ1507.575940
    30IHF200-150-4004005063φ200φ1507.51101160
    31IHF300-250-40011504070φ300φ25082002300

    IHF7.jpg

    IHF8.jpg

    IHF12.jpg

    五、產品實拍及使用現場

    IMG_3708.JPG


    IMG_3737.JPG


    IMG_3820.JPG


    IMG_5504.JPG


    018.jpg


    IMG_2525.JPG


    IMG_3719.JPG


    IMG_4755.JPG


    IMG_3784.JPG


    Photo_0906_30a.jpg


    psb (8).jpg


    psb (10).jpg


    psb (12).jpg

    上一篇:沒有了!

    下一篇:FSB型氟塑料離心泵

    熱銷產品

    為您提供耐腐耐磨砂漿泵,工程塑料泵,蒸發循環泵等方面的專屬解決方案

    聯系我們

    聯系人:劉經理

    手機:15371560918

    電話:0523-84339996

    郵箱:sales@jsruicn.com

    地址:靖江市經濟開發區新橋園區

    Copyright ? 2017-2020 江蘇瑞誠泵業有限公司 All Rights Reserved. 備案號碼:蘇ICP備17024166號-2

    服務咨詢熱線

    15371560918

    提供完善的泵類解決方案

    在線咨詢

    點擊這里給我發消息 售前咨詢專員

    點擊這里給我發消息 售后服務專員

    在線咨詢

    免費通話

    24小時免費咨詢

    請輸入您的聯系電話,座機請加區號

    免費通話

    微信掃一掃

    微信聯系
    返回頂部